020-87026501
仪德-透过新闻视角带您认识不一样的仪德

热门关键词: 斯派克光谱仪 光谱仪 手持式光谱仪 手持光谱仪 直读光谱仪 运动粘度计 便携式光谱仪

波长色散X射线荧光光谱仪测定润滑油中22种金属元素

返回列表 来源: 仪德 发布日期: 2020.12.21
润滑油是用在各种类型汽车、机械设备上以减少摩擦,保护机械及加工件的液体或半固体润滑剂,主要起润滑、辅助冷却、防锈、清洁、密封和缓冲等作用。由于油液中磨粒携带着机器运转状态的大量信息,因此,对磨粒的监测和研究不但能反映机器的磨损程度,而且还能揭示机器的磨损机理,从而可以改善机器的工作状况或减少灾难性设备故障发生的机会,不仅能够大幅度地降低修理成本,也可提高安全性。而光谱分析技术则是判断油液中磨粒成分和浓度的最直接有效的方法。

样品

(润滑油样品)


文章中使用波长色散X射线荧光光谱法测定润滑油中添加剂和磨损金属元素的含量,较好地克服磨损颗粒的尺寸对测定结果的影响,样品不需要前处理,是一种快速、高效、准确度高的方法。

操作部分


一、仪器
波长色散X射线荧光光谱仪

二、样品
选用VHGLabs公司的磨损金属系列17种有机金属交叉混合标样,其中添加剂元素和磨损金属元素浓度范围为:钙为0~5000μg·g-1,磷、锌、钡为0~2000μg·g-1,镁为0~3000μg·g-1,其余17个元素均为0~500μg·g-1。

三、试验方法
按表1所列的元素分析条件测定系列标准样品中各元素的特征X射线荧光强度计数率(Ri),与相应的标准值按下列方程作回归分析,利用软件的理论α影响系数和经验系数模式校正基体效应,求出校正曲线常数Di和Ei,谱线重叠校正LOi和基体校正Mi,建立样品分析工作曲线。式中:Ci为经校正后的定量浓度。

四、方法的检出限和精密度

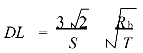
在仪器工作条件下对标准溶液进行测定,检出限的数学表达式为:

公式


式中:S为分析元素的灵敏度;Rb为背景强度;T为峰值和背景总的测定时间。

润滑油中各分析元素的检出限如下表。

润滑油中各分析元素的检出限

取一个使用过润滑油试样,在仪器工作条件下分别测定7次,对测定的数据进行统计。由表所示的数据可知,本法有良好的精密度。

五、总结

波长色散X射线荧光光谱法可以作为一种精确的润滑油中添加剂和磨损金属检测方法,因其十分有效并拥有很低的检出限。同时X射线荧光光谱法还是无损技术,只需进行简单的样品配备即可提供十分稳定的数据。

在用于分析润滑油中添加剂和磨损金属屑时,该方法操作简便、快速、准确是一种十分有效的方法,有助于预测设备的故障发生、维持设备正常运行、确保生产不中断。

六、日本波长色散X射线荧光光谱仪


润滑油金属元素测定


Rigaku ZSX Primus IV是一种管式以上的连续波长色散X射线荧光(WDXRF)光谱仪,可以快速定量测定铍(Be)到铀(U)中的主要和次要原子元素。Rigaku ZSX Primus IV采用上照射设计,再不用担心污染光路,清理麻烦和增加清理时间等问题。 

Rigaku ZSX Primus IV集合所有ZSX系列的优点:双真空系统,自动真空控制,mapping/微区分析,超轻元素超强灵敏度和自动芯线清洗等。 ZSX PrimusIV可灵活分析复杂样品。30μm超薄窗光管,保证轻元素分析灵敏度。

特征

1.从Be到U的元素分析
2.ZSX指导专家系统软件
3.数字多通道分析仪(D-MCA)
4.EZ分析界面进行常规测量
5.管道上方的光学器件使污染问题最小化
6.占地面积小,使用的实验室空间有限
7.微量分析可分析小至500μm的样品
8.30μ管提供卓越的轻元素性能
9.映射功能的元素地形/分布
10.氦气密封意味着光学器件始终处于真空状态

【相关推荐】

全国服务热线

020-87026500
020-87026501

广州仪德精密科学仪器股份有限公司 版权所有GUANGZHOU YIDE PRECISION SCIENTIFIC INSTRUMENTS CO., LTD.

公司地址:广州市黄埔区开创大道1936号萝岗奥园广场1016-1017室
备 案 号 :粤ICP备09106369号
      

华体会(中国)一站式服务平台方式contact US

  • 电话:020-87026500/01
  • 传真:020-87026502
  • 邮箱:info@yidekeyi.com
  • 扫一扫 微信二维码

粤公网安备 44010602008489号